DFS
프로그래머스의 DFS/BFS의 최하 문제인 target Number 문제이다.
사실 어려운 문제는 아니었으나 처음엔 이게 왜 DFS인지 이해를 못했다..
그러던 와중에 그래프를 그려봤더니 왜 인지 알아냈다.
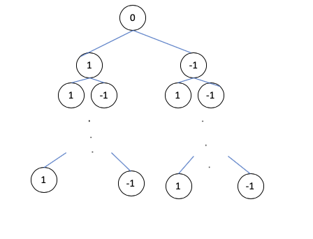
첫 합계를 0으로 시작하여 각 숫자별로 +와 -로 나눠 트리를 그려보면 이진트리가 나타난다.
이 경우에는 트리의 끝 점까지 가야해서 DFS로 풀어야한다.

대략 위와 같은 이미지인데 대충..알아 보면 될것 같다..
저런식으로 가장 끝 노드까지 탐색을 해야하기 때문에 DFS로 구현해야 한다.
막상 코드를 보면 굉장히 간단하다. 재귀 함수를 이용하여 구현하면 된다.
#include <string>
#include <vector>
#include <algorithm>
#include <iostream>
using namespace std;
int answer = 0;
void dfs(vector<int> numbers,int sum,int count,int targetNum){
if(numbers.size()<=count&&(count!=-1)){
//cout<<sum<<endl;
if(targetNum==sum){
answer++;
return;
}
return;
}
dfs(numbers,sum+numbers[count],count+1,targetNum);
dfs(numbers,sum-numbers[count],count+1,targetNum);
}
int solution(vector<int> numbers, int target) {
dfs(numbers,0,0,target);
return answer;
}
References
'문제풀이' 카테고리의 다른 글
| 백준 18310번 안테나 JAVA (0) | 2020.09.16 |
|---|---|
| 백준 16234번 인구이동(JAVA) (0) | 2020.09.11 |
| 카카오 기출 무지의 먹방 라이브 (0) | 2020.09.09 |
| 백준 1439 뒤집기 (0) | 2020.09.08 |
| 프로그래머스 네트워크 (0) | 2020.07.14 |